TÜRK HAVA KURUMU'NU SATIŞA ÇIKARAN KAYYUMA, MAHKEME "DUR" DEDİ
Türk Hava Kurumu'na ait 15 ilde 44 gayrimenkulü satışa çıkarma işlemlerine Ankara 9. Sulh Hukuk Mahkemesi izin vermedi.

06 Ağustos 2021 Cuma 22:00
Uğur Onur Urhan
İSTANBUL - Türk Hava Kurumu Kayyum Heyeti Başkanı olarak atanan Cenap Aşçı'nın THK'ya ait 15 ilde 44 gayrimenkulü satışa çıkarma işlemlerine Ankara 9. Sulh Hukuk Mahkemesi izin vermedi.
Cenap Aşçı, Ankara 9. Sulh Hukuk Mahkemesi 16 Ekim 2019'da Türk Hava Kurumu Kayyum Heyeti Başkanı olarak atanmıştı. Aynı mahkeme, 4 Temmuz tarihinde Resmi Gazete'de yayımlanan THK'ya ait 15 ilde 44 gayrimenkulü satışa çıkma işlemlerine izin vermedi.
MAHKEME GEREKÇESİNİ AÇIKLADI
Gerekçe olarak ise kayyum heyetinin vesayet makamı olarak satış yapılacak menkul ya da gayrimenkullere ilişkin bilgilendirme yapmaması ve mahkemeden özel olarak izin alınmaması gösterildi.
Mahkemeden yapılan açıklamada "Gelinen aşamada her ne kadar gayrimenkul ve menkullere satış izni verilmişse de kayyum heyetinin vesayet makamı olarak mahkememizi satış yapılacak menkul ya da gayrimenkullere ilişkin bilgilendirme yapmadığı, mahkemeden özel olarak izin alınmadığı görülmüştür." açıklaması yapıldı.
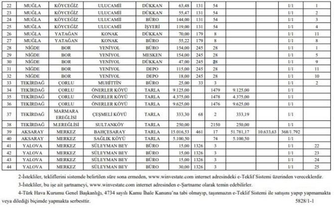
THK'NIN 15 İLDE TAŞINMAZI BULUNUYOR
THK'nin Antalya, Burdur, Çanakkale, Çorum, Denizli, Edirne, Erzurum, İzmir, Kırklareli, Kocaeli, Muğla, Niğde, Tekirdağ, Aksaray ve Yalova'daki mesken, tarla, bağ, dükkan, büro ve depo gibi gayrimenkulleri bulunuyor.

Antalya turizmi ekonomiye 30 milyar dolar döviz sağlıyor!Antalya Valisi Hulusi Şahin,'' Antalya yalnızca Türkiye’nin değil, dünyanın en güzel şehirlerinden birisi. Sadece turizm alanında milli ekonomiye yıllık 30 milyar dolar katkı sağlayan bu muhteşem şehre hizmet etmek bizim için büyük bir gururdur.30 Ocak 2026 Cuma 16:18TURİZM
Tatil temel bir ihtiyaç olmaya devam ediyor,HolidayCheck’in temsili araştırması, tatilin yüksek önemini ve daha fazla izin için gelirden feragat etmeye yönelik güçlü isteği ortaya koyuyor30 Ocak 2026 Cuma 15:00TURİZM
Prontotour 2025 raporuna göre kültür turları yükseliyor102 binden fazla yolcu ve 118 farklı destinasyon verisinin analiz edildiği rapora göre 2025 yılında yurt dışı odaklı kültür turu taleplerindeki artış dikkat çekti.30 Ocak 2026 Cuma 14:00ACENTELER
Ege’nin İki Yakasında Bir Gecede Değişen Hayatlar103 yıl önce, 30 Ocak 1923’te Lozan’da imzalanan "Türk-Yunan Nüfus Mübadelesine İlişkin Sözleşme ve Protokol", milyonlarca insanın hayatını sonsuza dek değiştirdi30 Ocak 2026 Cuma 13:00GÜNDEM
Düzensiz göçle işbirliği yapan ülkelere vize kolaylığıAB Komisyonu, düzensiz göçle mücadelede işbirliği yapan üçüncü ülkelere vize süreçlerinde kolaylık sağlanması, vizesiz seyahat rejimlerinin daha sıkı izlenmesi ve yükümlülüklerini yerine getiren ülkeler için vizesiz seyahat kolaylığı getiriyor.30 Ocak 2026 Cuma 12:00TURİZM
Restoran ve kafelerde kuver ücreti yasaklandıResmi Gazete'de yayımlanan yönetmelikle lokanta, kafe, restoran gibi işletmelerde, servis, kuver veya farklı bir isimle ücret alınması tamamen yasaklandı.30 Ocak 2026 Cuma 11:00YEME İÇME
'Türk oligark'ın Domodedovo Havalimanı'nı yarı fiyatına satıldıUkrayna savaşının başladığı dönemde lüks yatıyla Muğla’ya gelen ve 1.7 milyar dolarlık servete sahip olan Kamenshchik’e ait Domodedovo Havalimanı’nı başkentteki en büyük havalimanı olan Şeremetyevo Havalimanı yarı fiyatına satın aldı.30 Ocak 2026 Cuma 10:00ULAŞTIRMA
Dışarda yemek, kıyafet bütçesini geçtiBütün sektörler bir yana, yemek sektörü diğer yana... Fiyatlama ve fiyat algısı o kadar bozuldu ki, nerede neyin fiyatı ne kadar olur, olmalı; hesap iyice şaştı.30 Ocak 2026 Cuma 09:00YEME İÇME
Turizmde, veriyle tanıtım, deneyimle sadakat2025 yılını 64 milyar dolar bandında kapatmaya hazırlanırken; 2026 projeksiyonları tanıtımda "nicelikten niteliğe" geçişin şart olduğunu gösteriyor.30 Ocak 2026 Cuma 08:00TURİZM
Rusya Pazarında telep arttı, Sömestir rekor kırdı!Rusya pazarından gelen erken rezervasyon talepleri, geçtiğimiz yıla oranla üç kat artış göstererek sektörde büyük heyecan yaratırken, devam eden sömestir tatiliyle iç turizmde ekonomik hareketlilik bekleniyor.30 Ocak 2026 Cuma 07:00TURİZM
- Geri
- Ana Sayfa
- Normal Görünüm
- © 2005 Türkiye Turizm











Türkçe karakter kullanılmayan ve büyük harflerle yazılmış yorumlar onaylanmamaktadır.